Site sur l'accordéon diatonique de Erwan Diato

format Abc2Diato

Cette page comprend plusieurs parties :

  1. Explications sur le système de tablatures
  2. La tablature pour diato : une édition complexe
  3. Fonctionnalités de l'éditeur

Format Abc2Diato

Les tablatures sont générées au format Corgeron ou CADB à partir d'un fichier ABC. La main gauche est déclinée en B pour basse, a pour accord.

Quand une harmonie est présente, elle est renseignée au dessus de la tablature :

tab

Ce qui - ici au format TablEdit - donne ceci :

tab

C'est un parti pris, et ça fait partie de l'apprentissage du diato de connaître sa main gauche - 8 boutons seulement, et c'est nécessaire pour communiquer avec des guitaristes par exemple.

Quand il y a un B barré, cela signifie "basses plaquées", ou basse seule, ou accord seul, au choix.

Si la main gauche n'est pas renseignée, il faut regarder la tonalité (mode) renseigné. Exemples :

  • Cmaj : utiliser C/G
  • Amin : utiliser A/E ou A/G
  • Gmaj : utiliser G/D
  • Gmix : utiliser G/F
  • ...

Hormis la main gauche, la tablature est assez standard.

Quelques incohérences peuvent exister au niveau de la partition, si une vraie partition est nécessaire, il y a plusieurs sites qui proposent la transcription ABC - partition avec un rendu professionnel.

Une édition complexe

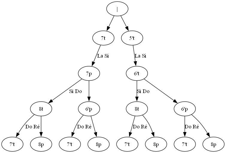
Si vous avez déjà observé un plan de clavier pour deux rangées (standard), vous avez sans doute remarqué que toutes les notes sont en double, à l'exception des Fa et Fa#.

Sur diato, pour jouer La Si Do Ré, voici les possibilités :

tab

Il y a déjà 8 possibilités, la plupart font sens en fonction de la tonalité, du mode, de l'harmonie. Pour formaliser, en comptant deux possibilités par note, le nombre de possibilités est, pour n notes, de 2n.

Comme exemple, le premier An dro de la page de tablatures de musique bretonne comprend 85 notes, soit 285 possibilités. Le résultat du calcul n'a aucun sens :
38,685,686,227,668,133,590,597,632
C'est la difficulté du diato, figer un doigté pour un air (pour un apprentissage basique, je ne prends pas en compte la personnalisation, le style, les variations...).

C'est ce que j'ai souhaité réaliser en figeant une version de tablature par air ABC à travers différents algorithmes, tout en souhaitant que la tablature générée soit assez proche de ma façon d'appréhender un air.

Cela fonctionne parfois très bien, mais devant la grande diversité des airs il peut y aboir quelques incohérences ; j'en règle certaines quand je les rencontre, mais il impossible d'avoir une tablature cohérente à coup sûr, il faut pouvoir rester générique en ne faisant pas d'un cas particulier une règle adaptée à tous les airs.

Pour la petite histoire, le programme initial datant de 2010 n'était plus maintenable (php procédural), il a été repensé en briques maintenables (Java). Certaines des fonctionnalités intiiales n'ont pas été recodées (transcription la/ré par exemple, édition de couleurs...).

Fonctionnalités de l'éditeur

L'éditeur fonctionne avec des lignes de texte au format ABC. Ce format est très répandu, une bonne base d'exploration en musique irlandaise est le site The Session.

Toutes les tonalités ne sont pas supportées, en effet le but est de produire des tablatures pour accordéon diatonique pour sol/do avec éventuellement 4 boutons sur la troisième rangée, et de 8 à 12 basses, l'instrument a ses limitations. Voici le plan de clavier.

Il existe de nombreuses fonctionnalités dans la notation ABC, en voici deux importantes qui ne sont pas prises en charge :

  • Les ornements
  • Les liaisons d'expression
  • Certains éléments de structuration visuelle de partition (les crochets par exemple)

Il y a deux instructions disponibles pour contraindre la main gauche :

  • I:plaque : les basses seront plaquées
  • I:gavotte : les mesures impaires auront B a a B, les paires a a B a

L'harmonie peut contraindre le sens de soufflet, pour cela, avant la suite de note, renseignez une harmonie du type "Am". Il y a par ailleurs quelques optimisations en fonction de la tonalité (mode) renseignée. Aussi, le mode de Do majeur et le mode de G Mixolydien, qui ont les mêmes notes, produiront dans certains cas des doigtés (boutons, sens de soufflet) différents.